相隔近半世紀,兩大發展商現任掌舵人—恒隆集團董事長陳文博(左)及合和實業主席胡應湘(右),與港鐵主席歐陽伯權聚首德福花園,與社區一同見證德福45年來的豐碩成果。
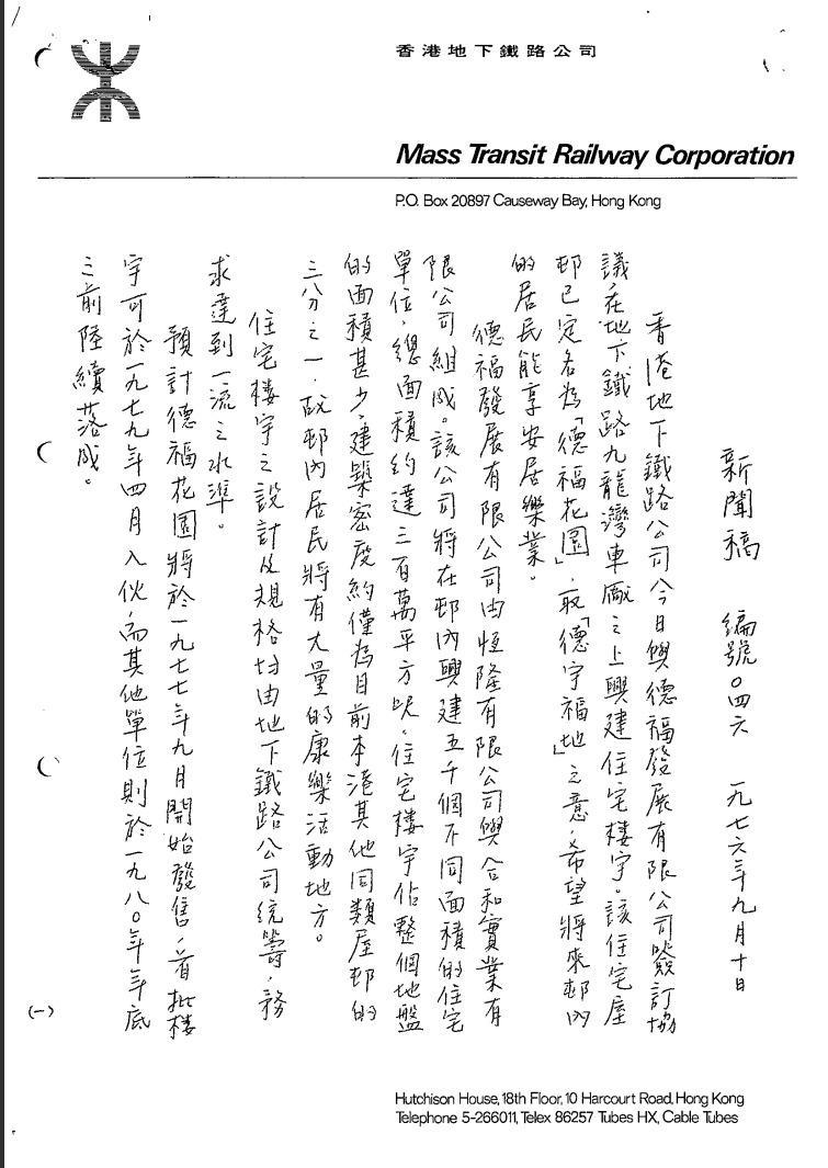
為慶祝港鐵首個鐵路發展項目——德福花園45周年,港鐵今日(18日)舉辦慶祝派對,由運輸及物流局常任秘書長蔡傑銘擔任主禮嘉賓,並邀請到當年有份參與發展項目的合作夥伴重臨舊地,分享地鐵早期物業發展的點滴。 活動期間,港鐵在大屏幕展現了多幅珍貴歷史圖片,當中包括一份於1976年發布的手寫新聞稿,記載了「德福花園」名字的由來——結合「德宇」與「福地」之意,希望居民能在此安居樂業。另一張攝於1981年的珍貴照片,則捕捉了德福花園第二及第三期平頂儀式的歷史時刻。當時地鐵公司主席唐信聯同恒隆發展有限公司主席陳曾熙及合和實業有限公司主席胡忠,共同主持儀式,象徵項目邁向新的里程。
事隔近半世紀,兩大發展商的現任掌舵人—— 合和實業主席胡應湘及恒隆集團董事長陳文博,聚首德福花園,與港鐵主席歐陽伯權合照留念,見證鐵路與物業結連,推動城市發展的無限可能。他們的出席不僅是對前人努力的致敬,更是對未來社區建設的承諾與信念。 歐陽伯權於活動上致辭時表示,德福是全港首個以「鐵路加物業」模式發展的社區,為鐵路建設與營運提供了可持續的方程式,亦奠定港鐵建設社區的角色。他指出,德福見證了九龍灣由工業區蛻變為集住宅、商業及消閒於一身的綜合社區,推動九龍東經濟起飛,成為社區生活的核心與居民的聚腳點。展望未來,港鐵將繼續以熱誠、高效與創意,推動城市前行,為香港「建設無限未來」。






